µç»°£º+86-21-50903001
+86 13585569799
ÓÊÏ䣺ormaise@cnzkzg.com
µØÖ·£ºÖйúÉϺ£ÆÖ¶«ÐÂÇøÀ¼»¨Â·308ºÅB×ù609ÊÒ
µç»°£º+86-572-6955888
ÓÊÏ䣺zkzg@cnzkzg.com
µØÖ·£ºÖйúÕã½Ê¡³¤ÐËÏØÇå¾²Õò¹¤ÒµÔ°Çø











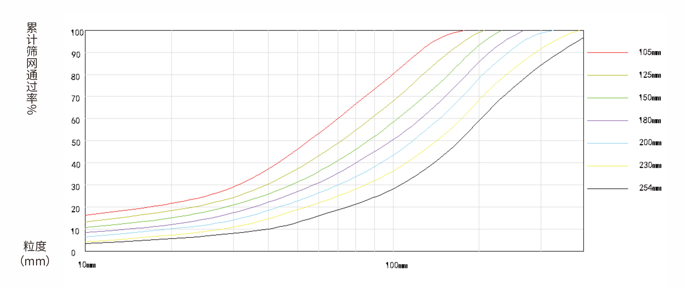
Ðý»ØÆÆËé»úÊÊÓÃÓÚÖÖÖÖÑÒʯºÍ¿óʯµÄ³õ¼¶ÆÆËé¡£Ïà¶ÔÆäËü³õ¼¶ÆÆËé×°±¸£¬¾ßÓд¦Öóͷ£Á¿´ó¡¢ÆÆËéЧÂʸߡ¢ÆÆËé±È´ó¡¢²úÆ·Á£¶ÈÔȳơ¢µÍÄܺġ¢ÆÆËéÇ»ÄÚÄ¥ËðÔȳƵÈÌØµã£¬ÊʺÏÌØ´óÉú²ú¹æÄ£µÄÌõ¼þÏÂʹÓá£
Ðý»ØÆÆËé»úÊÇʹÓÃÆÆËé×¶ÔÚ»ú¼ÜÄÚ×¶Ç»ÖеÄÐý»ØÔ˶¯£¬¶ÔÎïÁϱ¬·¢¼·Ñ¹¡¢ÅüÁѺÍÍäÇú×÷Ó㬴ÖËéÖÖÖÖÓ²¶ÈµÄ¿óʯ»òÑÒʯµÄ´óÐÍÆÆËé»úе¡£ÆäÖ÷Öá×øÂäÔÚҺѹ¸×ÄڵĻîÈûÉÏ£¬¸Ä±ä»îÈûϵÄҺѹÓÍÌå»ý¾Í¿ÉÒÔ¸Ä±äÆÆËé×¶µÄÉÏÏÂλÖ㬴Ӷø¸Ä±äÅÅÁϿڵľÞϸ¡£³¬ÔØÊ±£¬Ö÷ÖáÏòϵÄѹÁ¦Ôö´ó£¬ÆÈʹ»îÈûϵÄҺѹÓͽøÈëҺѹ´«¶¯ÏµÍ³ÖеÄÐîÄÜÆ÷£¬Ê¹ÆÆËé×¶ËæÖ®Ï½µÒÔÔö´óÅÅÁϿڣ¬ÇãÔþËæÎïÁϽøÈëÆÆËéÇ»µÄ·ÇÆÆËéÎ½ðÊô¡¢Ä¾¿éµÈ£©¡£
1¡¢ÓµÓдóÇã½ÇµÄÆÆËéÇ»ºÍ½Ï³¤µÄÆÆËéÃæ£¬ÊµÏÖÒ»Á¬ÐÔÆÆË飬´Ó¶øÌáÉýЧÂÊ£¬ÔöÌí²úÁ¿£»
2¡¢ÌØÊâÖÊÁÏÖÆ³ÉµÄ³Ä°åÊ¹ÆÆËé»úÓµÓÐǿʢµÄÆÆËéÄÜÁ¦£¬Ê¹³Ä°åµÄÊÙÃü¸ü³¤¡£ÖØÐ͵Ļú¼Ü£¬Ö÷ÖáºÍ¶¯×¶½ÓÄÉÒ»Ìåʽ½á¹¹Éè¼Æ£¬×èÖ¹ÆÆËéÀú³ÌÖзºÆð¶¯×¶Ëɶ¯£¬È·±£Á˸ü³¤µÄʹÓÃÊÙÃüºÍ¸üÇå¾²¿É¿¿µÄÔËÐÐ״̬£»
3¡¢½ÓÄÉ»¡³Ý×¶³ÝÂÖ´«¶¯£¬³ÐÔØÄÜÁ¦¸ß£¬ÔËÐÐÆ½ÎÈ£¬ÔëÒôС£»
4¡¢ÅÅÁϿھÞϸ×Ô¶¯¼ì²â£¬ÅäºÏҺѹϵͳʵÏÖ×Ô¶¯µ÷Àí£¬È·±£³öÁÏÁ£¶ÈµÄÎȹÌÐÔ£»
5¡¢¾ßÓйýÌú±£»¤¹¦Ð§£¬»îÈûʽÐîÄÜÆ÷ºÍµ¥Ïò·§Ê¹Ö÷ÖáÔÚÆÆËéÇ»½øÈ볬ӲÎïÌåʱ¿ì½µÂýÉý£¬ÇãÔþ³¬Ó²ÎïÌ壬½µµÍ¹¥»÷£¬ÔËÐÐÇå¾²Îȹ̣»
6¡¢ÓÐÓõķÀ³¾Ãܷ⣬װÅäµÄÕýѹ¹Ä·ç»ú¿É°ü¹ÜÎÞ·Û³¾½øÈëÆ«ÐÄ×°Öã»
7¡¢Í¨¹ý¶ÔҺѹºÍÈó»¬ÏµÍ³Òªº¦²¿Î»µÄÓÍλ¡¢ÓÍΡ¢ÓÍѹ¡¢Á÷Á¿£¬¶¯×¶Î»ÖõȵÄʵʱ¼à²â£¬ÊµÏÖ¹ÊÕÏ¿ìËÙÕï¶ÏºÍʵʱÐÞ¸´£¬´ó´óËõ¶Ì¹ÊÕÏÍ£»úʱ¼ä¡£´«¶¯ÖáÖá³ÐζÈʵʱ¼à²â£¬ÊµÊ±·¢Ã÷Òì³£ÇéÐΡ¢ÊµÊ±Î¬»¤£¬ÑÓÉìÖá³ÐµÄʹÓÃÊÙÃü¡£ÏÂÁϲÖÁÏλʵʱ¼à²â£¬±ÜÃâÁϲֶÂÁÏ£¬ÒÔ±£»¤Ö÷»úÇå¾²ÔËÐС£¾ßÓл¥ÁªÍø¹¦Ð§£¬×°±¸µÄÔËÐÐ״̬¿ÉÒÔÔ¶³Ìʵʱ¼à²â£¬ÀúÊ·Êý¾Ý¿ÉÓÃÓÚ×Ô¶¯ÆÊÎöºÍ¹¤ÒÕÓÅ»¯¡£
